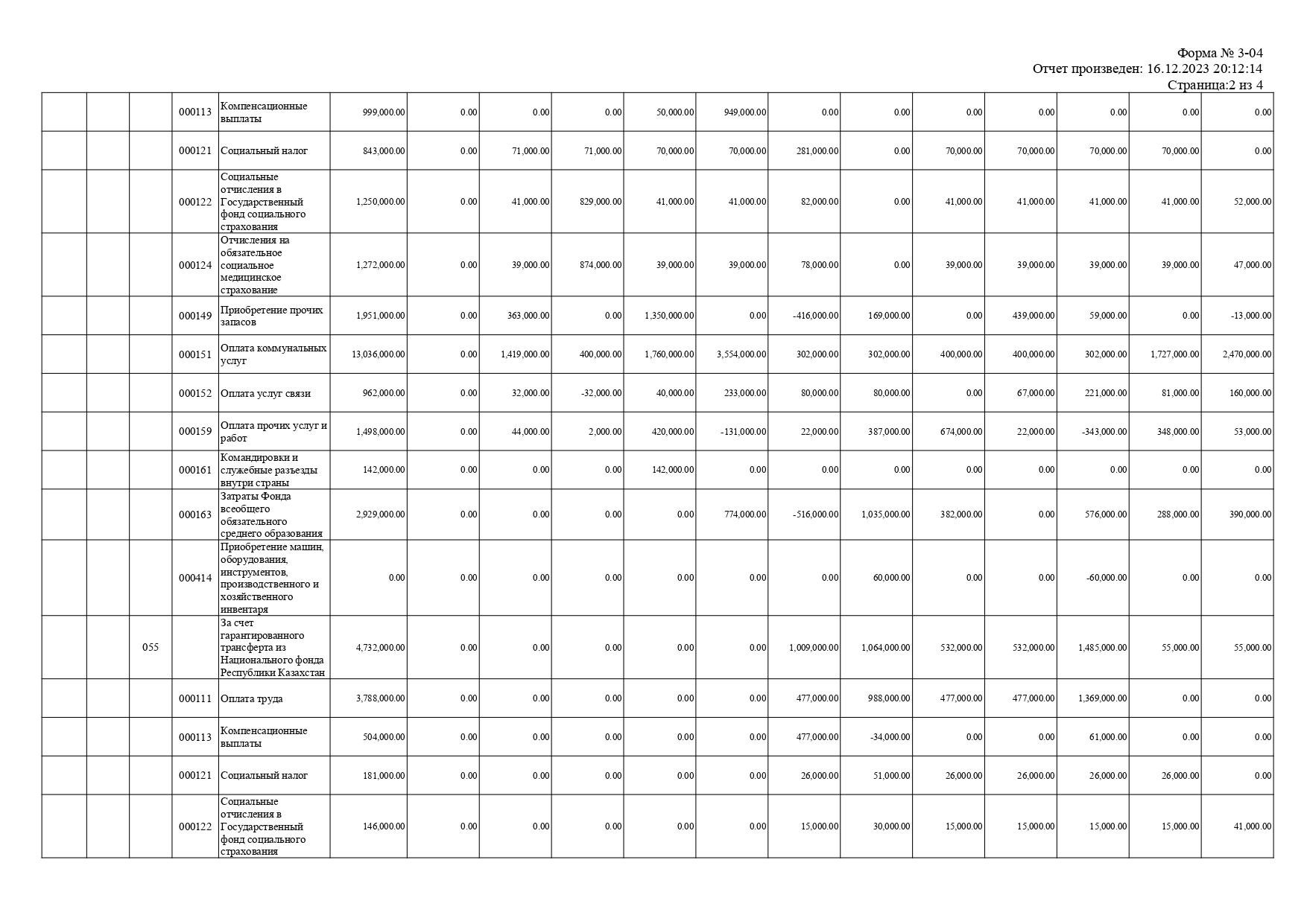
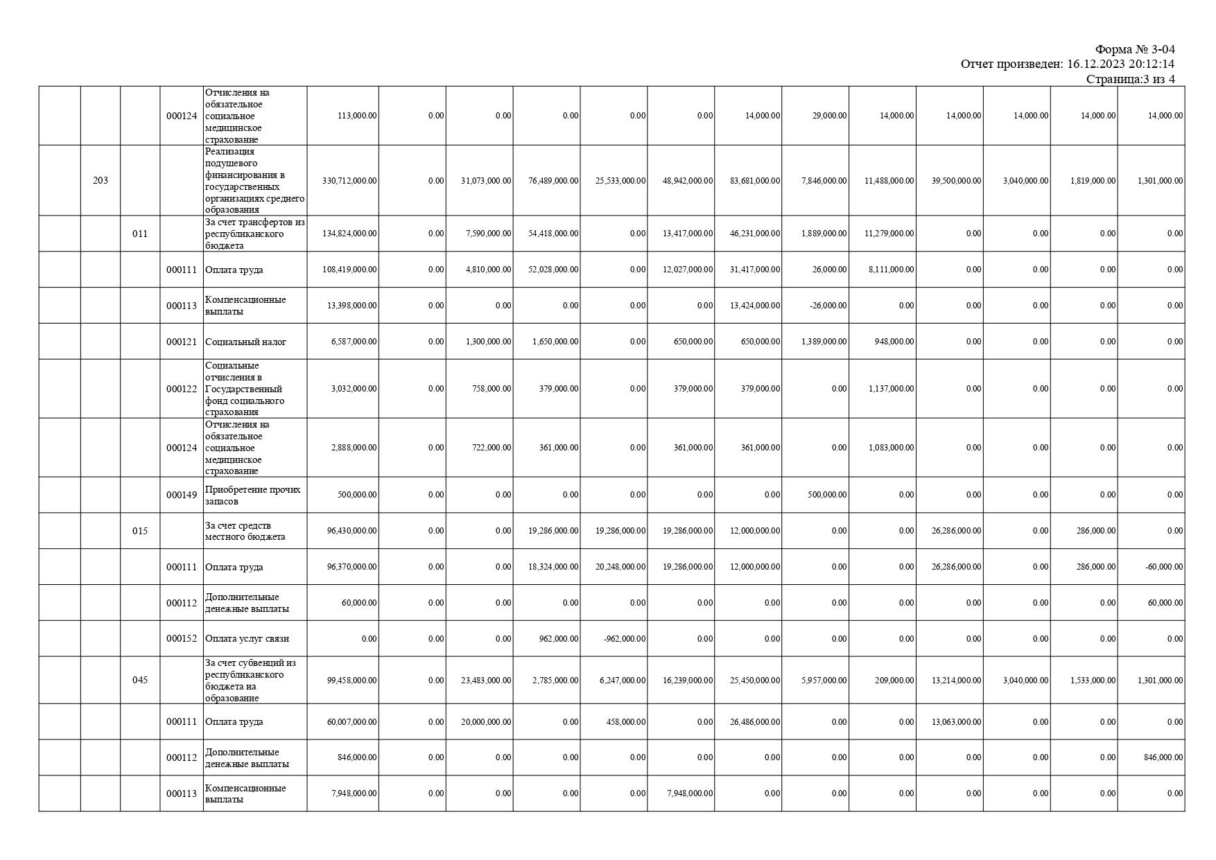
Индивидуальный план финансирования по платежам на 2022 год » №7 орта мектебі
Шығыс Қазақстан облысының білім басқармасы
Өскемен қаласы бойынша білім бөлімінің
«№7 орта мектебі»
коммуналдық мемлекеттік мекемесі
қабылдау бөлімі:
+7 (7232) 52-29-78
Есепші:
+7 (7232) 52-29-78
Нашар көрушілер
нұсқасы
» » » Индивидуальный план финансирования по платежам на 2022 год